Lompat ke konten Lompat ke sidebar Lompat ke footer
close

Integrala Din Sin^2 X

Integrala Din Sin^2 X

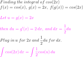
For each of these, we simply use the fundamental of calculus, because we know their corresponding derivatives. Using chain rule:integral of cos2x dx= 1/2 * sin2x + c.

Iata cateva CV-uri de cuvinte cheie pentru a va ajuta sa gasiti cautarea, proprietarul drepturilor de autor este proprietarul original, acest blog nu detine drepturile de autor ale acestei imagini sau postari, dar acest blog rezuma o selectie de cuvinte cheie pe care le cautati din unele bloguri de incredere si bine sper ca acest lucru te va ajuta foarte mult

Type in any integral to get the solution, steps and graph. Use the half angle formula. How to integrate sin^2 x using the addition formula for cos(2x) and a trigonometric identity.

The Perplexing Integral Of Sin X Cos X Sunday Puzzle Mind Your Decisions
vizitati articolul complet aici : https://mindyourdecisions.com/blog/2015/08/09/the-perplexing-integral-of-sin-xcos-x-sunday-puzzle/
Using chain rule:integral of cos2x dx= 1/2 * sin2x + c. Get your answers by asking now. Obtinem formula de integrare n9;

Calculus introduction to integration definite and indefinite integrals.

What is integration of sinx^2? Because 1/2 is a constant, we can remove it from the integration to make the calculation simpler. For each of these, we simply use the fundamental of calculus, because we know their corresponding derivatives.

Obtinem formula de integrare n9; Frullani's integrali nedir ve sonucunu gösterelim, nerelerde,hangi durumlarda işe yarar? How to integrate sin^2 x using the addition formula for cos(2x) and a trigonometric identity.

Integral Of Sin 2x Cosx Vs Integral Of Sin 2x Youtube
vizitati articolul complet aici : https://www.youtube.com/watch?v=kWyzNjjrTBQ
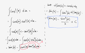
It will teach you how to avoid mistakes with commas, prepositions, irregular verbs, and much more. The proof of this trig identity relies on the pythagorean trig identity, the most famous trig identity of all time: I always do this, i always wonder what would happen if a particular question is on the exam, then when i can't do it i begin to worry!!!

Obtinem formula de integrare n9;

Type in any integral to get the solution, steps and graph. Using chain rule:integral of cos2x dx= 1/2 * sin2x + c. I always do this, i always wonder what would happen if a particular question is on the exam, then when i can't do it i begin to worry!!!

Calcularea unor integrale din functii trigonometrice: Întreabă ce nu ştii să faci din temă. Use the half angle formula.

Integrala
vizitati articolul complet aici : http://pro-didactica.ro/forum/index.php?forumID=8&ID=23973
Cos(x) = sin(x), cos(x) dx = sin(x) + c. Use the half angle formula. Integrate with respect to $u$, then back substitute $u = 1 + \cos^2(x)$ into the result.

We used the following trig identities.

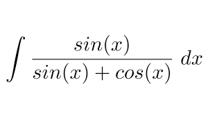
∫dx/(sinx+3cosx+2) formule utilizate cu jumatate de unghi: I always do this, i always wonder what would happen if a particular question is on the exam, then when i can't do it i begin to worry!!! What is integration of sinx^2?

Posting Komentar untuk "Integrala Din Sin^2 X"